Test z matematiky na prijímacie skúšky na gymnázium. Toto je ukážkový prijímačkový test do prvého ročníka gymnázia. Na test máte 45 minút. Riešenie testu nájdete na konci stránky.
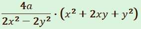
Úloha 1.
Zjednodušte výraz a určte podmienky, kedy má výraz zmysel: 
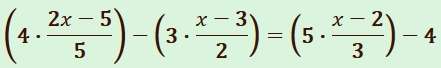
Úloha 2.
Riešte rovnicu a urobte skúšku správnosti: 
Úloha 3.
Štyria chlapci si rozdelili 100 guliek. Druhý dostal o 20 % viac ako prvý, tretí o 20 guliek viac ako prvý a štvrtý dostal 0,8-krát viac guliek ako prvý. Koľko guliek dostal každý chlapec?
Úloha 4.
Stĺp na lepenie plagátov má tvar trojbokého hranola, ktorého podstava je pravouhlý rovnoramenný trojuholník. Jeho odvesny majú dĺžku 1,2 m. Výška stĺpa je 1,8 m. Koľko m2 tvorí plocha, na ktorú môžeme lepiť plagáty?
Úloha 5.
Zostrojte trojuholník ABC, ak je dané: a = 6 cm, tb = 5 cm, tc = 6 cm.
Úloha 6.
V akváriu tvaru kvádra s rozmermi dna 30 cm a 40 cm je 42 litrov vody. Vypočítajte obsah plôch, ktoré sú vo vode.
Úloha 7.
Nájdite všetky čísla t, ktoré vyhovujú nasledujúcej podmienke: (t + 2) . (t + 2) = 0


Ten 4. Príklad ako vychádza 7,3747, ak stále pri výpočte ostáva 1,44+7,3747?
Na vrch nelepíš. takže odpoveď je iba spl
Nevie mi niekto vysvetliť ako vypočítať 3. príklad prosím.
Úloha: Štyria chlapci si rozdelili 100 guliek. Druhý dostal o 20 % viac ako prvý, tretí o 20 guliek viac ako prvý a štvrtý dostal 0,8-krát viac guliek ako prvý. Koľko guliek dostal každý chlapec?
Riešenie: Prvý chlapec dostal 20, druhý 24, tretí 40 a štvrtý 16 guliek.
Postup: Definujeme si, že prvý chlapec dostal „x“ guliek. Druhý teda dostal „x + 20 % x“, tretí „x + 20“ guliek a štvrtý „0,8 x“. Spolu by to malo byť 100 guliek. Takže riešime rovnicu s jednou neznámou: „x + x + 20 % x + x + 20 + 0,8 x = 100“, teda vlastne „3 x + 0,2 x + 0,8 x + 20 = 100“, upravíme ho na „4 x + 20 = 100“, upravíme ho na „4 x = 80“, upravíme ho na „x = 20“. Vieme teda, že prvý chlapec dostal 20 guliek, dopočítame si teda guľky ostatných chlapcov, to už zvládnete.
Skúška správnosti: 20 + 24 + 40 + 16 = 100
nedostal 4. chlapec x+(0,8 x), vzhľadom na to, že dostal viac než on, a ak vynásobím prvého chlapca s 0,8, dostanem menšie číslo? Lenže 4. chlapec by mal mať viac ako on.
Tvoj zápis je výrok ,,o 0,8-krát viac“, vtedy sa to spočítava: x+0,8x=1,8x. Ak je napísané iba ,,0,8-krát viac“, tak sa iba násobí: 0,8x. Máš pravdu, že je to menej, ale slovo ,,viac“ je tu na to, aby si to číslom 0,8 násobil. Ak by tam bolo napísané 0,8-krát menej, bolo by treba číslom 0,8 deliť. To je krása matematiky 😉
To je MASAKER!!! Na akom gymnáziu boli takéto prijímacie skúšky???
Dobrý deň, vedeli by ste mi prosím vysvetliť príklad číslo 6? Ďakujem.
ten priklad bol jednoduchy
jednoduchy priklad
Dobrý deň, mohli by ste mi ukázať postup cvičenia 6?
dobrý deň, postup úlohy 6 =
najprv vzorec na výpočet objemu kvádra V = a . b . c
potom doplním čo viem 24 = 3 . 4 . c
POZOR musia byť rovnaké jednotky (ja mám v dm a dm3=litre)
idem vypočítať c c = 24 : 12
c = 3,5 dm
a teraz vypočítam plochu ktorá je pod vodou =
3 . 3,5 . 2 = 21 dm2
4 . 3,5 . 2 = 28 dm2
4 . 3 = 12 dm2
výsledky sčítam = 21 + 28 + 12 = 61 dm2 = 6100 cm2
dúfam že som to vysvetlila tak že sa to dá pochopiť
prajem pekný deň
Mate zadane strany a , b čo je a= 30 cm b= 40 cm a taktiež mame zadany objem ktory je 42 litrov čo je 42 dm kubickych, čiže najprv musime zistit stranu c aby sme mohli pokračovať a to zistime že dame V = a.b.c to znamena 42 dm3=30.40.c ale kedže mame strany v cm a objem je v dm tak namiesto 30,40 dame 3,4 čiže 42dm3=3.4.c to je 42=12.c , vydelime 42:12 čo je 3,5 a to je c , čiže c =3,5 dm alebo 35cm , a teraz musime vyratat obsah ploch ktore su vo vode , čiže vieme že akvarium nema vrchnu stranu čiže tu neriešime, čize ked vieme všetky dlžky stran abc ,30,40,35 cm tak lahko vypočitame obsahy stran čiže napriklad predny obdlznik dame 30.35 ( nezabudnut ze su 2 čiže (35.30) .2 ) dalej bočnu stranu 40.35 tiez dva krat a tu vrchnu stranu neriešime lebo ju akvarium nema a ked všetko dokopy zratame (35.30).2= 2100cm2, (40.35).2 = 2800 a poslednu spodnu stranu, 30.40=1200cm2 a ked tieto vysledky zratame dostaneme 6100cm2
neviem ani hovno
Tak dvojka mi vôbec nechce vyjsť. Nevedeli by ste mi niekto pomôcť? stále mi vychádza 65=13x
Tento test vôbec nie je vhodný na prijímacie skúšky na gymnázium, nakoľko obsahuje učivo, ktoré sa už pekných pár rokov na ZŠ nevyučuje ( príklad 1), ale sa presunulo na SŠ a konštrukčná úloha je skôr maturitný príklad ako prijímačkový. Odkiaľ tie zadania beriete?
dobrý deň, postup úlohy 6 =
najprv vzorec na výpočet objemu kvádra V = a . b . c
potom doplním čo viem 24 = 3 . 4 . c
POZOR musia byť rovnaké jednotky (ja mám v dm a dm3=litre)
idem vypočítať c c = 24 : 12
c = 3,5 dm
a teraz vypočítam plochu ktorá je pod vodou =
3 . 3,5 . 2 = 21 dm2
4 . 3,5 . 2 = 28 dm2
4 . 3 = 12 dm2
výsledky sčítam = 21 + 28 + 12 = 61 dm2 = 6100 cm2
dúfam že som to vysvetlila tak že sa to dá pochopiť
prajem pekný deň
ja nič neviem som ohlupnuty zos tejto skoly lebo to je hardcore nebudem sa vyjadrovat k tomu kroihlinkovi ministrovi skolsta mam toho dost ja nic vobec neviem a ked ma nezoberu mama ma zos kutacom zabije a smari do jarku a uz dost nedavajte na prijmacki take taske a us koncim cav
haha teraz som sa zasmiala
-držím palce
prosím postup pri riešení rovnice, úloha č.2, ďakujem
konstruckna uloha mi vobec nedava zmysel.. velkost 5 cm je rozdelena v pomere 2;1 ale 5 deleno 3 vychadza periodicke cislo, taktiez aj jeho dvojnasobok.
Ako sa dostanem k tomu výsledku čo má byť v jednotke? Všetko ostatné je celkom v pohode len toto mi príde že som v živote nerobil.