Prinášame Vám testy z matematiky na prijímacie skúšky na stredné školy. Toto je prijímačkový test do prvého ročníka gymnázia. Na test máte 40 minút. Vyberte správnu odpoveď spomedzi ponúkaných možností a hneď sa dozviete, či ste odpovedali správne. Trafili ste nesprávnu odpoveď? Nevadí – možno Vás pobaví aspoň nesúhlasná reakcia učiteľa matematiky 🙂 .
Otázka č. 1
Koľko rôznych deliteľov má číslo 18?
8 deliteľov
Si spadol z hrušky? Skús inú odpoveď!
6 deliteľov
Správne! Sú to tieto delitele: 1, 2, 3, 6, 9, 18.
18 deliteľov
To myslíš vážne? Chyba!
9 deliteľov
Nie-nie, nedobre!
Otázka č. 2
Mama prispela sumou 110 EUR na Petrov bicykel, čo bolo 55 % ceny bicykla. Koľko stál bicykel?
100 EUR
Teba poslať pre bicykel s peniazmi – tak donesieš rovno dva. Mýliš sa!
220 EUR
Skoro si sa trafil, ale netrafil!
200 EUR
Jasné, to bolo ľahké! Jednoducho 110 EUR je 55 %, takže si vypočítaš jedno percento a vynásobiš 100.
120 EUR
Zle-nedobre!
Otázka č. 3
Aký je povrch a objem kocky, ktorej stena má 16 cm2?
S = 96 cm2, V = 64 cm3
Buď tomu rozumieš, alebo to bola náhoda. Správne! Hrana je druhá odmocnina z 16, objem je tretia mocnina z druhej odmocniny zo 16 a povrch je 6-násobok steny.
S = 256 cm2, V = 32 cm3
Keď už toto nevieš, tak ďalšie otázky ani nerieš!
S = 96 cm2, V = 96 cm3
Pokazila sa ti kalkulačka? Zle!
S = 256 cm2, V = 126 cm3
Chyba, zrazil si sa s profesorom Koňom?
Otázka č. 4
Trojuholník má strany dlhé 7 cm, 8 cm a 13 cm. Aká je dĺžka strany štvorca, ktorý má rovnaký obvod ako tento trojuholník?
7 cm
Správna odpoveď! Sčítame dĺžku strán trojuholníka a vydelíme štyrmi.
8 cm
Chybuješ!
17 cm
Chybíš!
18 cm
Chýbal si?
Otázka č. 5
Medzi bežcom, ktorý dobehol tretí od konca a bežcom, ktorý skončil piaty, sa umiestnili traja pretekári. Koľko bežcov pretekalo?
10
Nedobehol si, si diskvalifikovaný!
11
Výborne, správna odpoveď! Traja do konca, piati od začiatku a traja medzi nimi, to je spolu 11 bežcov.
12
Vyčisti si hlavu, choď si zabehať a skús inú odpoveď!
13
Behom, bežkom, behotom – skokom, skočkom, celé zlé!
Otázka č. 6
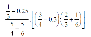
Rieš sústavu rovníc a urob skúšku správnosti:
x = 2, y = 7
Výborne! A nezabudni na skúšku správnosti.
x = 7, y = 7
To bolo ľahké, a aj tak to máš zle!
x = 7, y = 2
Nie! Z blata bič neupletieš.
x = 2, y = 2
Chyba! Ale nedocvaklo ti, že stačí si do rovníc dosadiť obe premenné?!
Otázka č. 7
Z 28 žiakov deviatej triedy sa každý učil aspoň jeden z dvoch cudzích jazykov: český a/alebo čínsky. Češtinu malo 22 žiakov. Medzi nimi boli 4, ktorí mali češtinu aj čínštinu. Koľko žiakov deviatej triedy sa učilo iba čínsky?
2 žiaci
错误!!!
4 žiaci
错误!!!
6 žiakov
好 🙂 Keďže češtinu malo 22 žiakov z 28 a zároveň každý mal aspoň jeden cudzí jazyk, tak čínštinu malo 28-22=6 žiakov.
8 žiakov
错误!!!
Otázka č. 8
Vypočítaj povrch rovnostranného valca, keď jeho objem V = 216 cm3
S = 2,99 dm2
Milka, to je mýlka!
S = 1,49 dm2
Mýliš sa! Myslieť, myseľ, umývať a spať!
S = 1,99 dm2
Good! Teraz vieš, čo je to rovnostranný valec a ako sa počíta jeho objem a povrch. To z teba robí hviezdu.
S = 2,49 dm2
Mydlo, myš, šmýkať sa, hmyz, mýliš sa!
Otázka č. 9
Útvar na obrázku je zložený zo štvorcov a má obsah 45cm2. Koľko cm meria jeho obvod?
Obvod útvaru je 12 cm a vypočítať to mi trvalo menej než 1 minútu.
Veľa stresu pre nič! Spomaľ, prepočítaj to ešte raz.
Obvod útvaru je 12 cm a vypočítať to mi trvalo viac než 1 minútu.
Útvar na obrázku je zložený zo štvorcov a má obsah 45cm2. Koľko cm meria jeho obvod?
Odpoveď: Keďže štvorcov je 5 a obsah je 45 cm2, tak každý štvorec má 45 / 5 = 9 cm2. Keďže obsah štvorca je 9 cm2, tak podľa vzorca S = a.a je jedna strana štvorca druhá odmocnina z 9 cm2 t.j. 3 cm. Následne stačí spočítať počet strán, ktoré tvoria obvod a vynásobiť to tromi, v našom prípade 3 x 12 = 36 cm. Obvod je teda 36 cm.
otazka cislo 7 je zle lebo otazka je ktory ziaci sa ucia IBA cinsky!! cize z toho vypliva ze maju len jeden jazyk takze ti co maju aj cestinu aj cinstinu tam nemozu byt pocitany, z toho vypliva ze 22 ziakov co mali cestinu plus 4 co mali aj cestinu aj cinstinu je 26 ziakov minus 28 vsetkych je 2 ktori mali IBA cinstinu… bud to je chyba v odpovedovom harku alebo zle sofrmulovana otazka
Asi si to zle pochopil Ondrej pretože 22 sa uči česky a s tých 22 sa učia štyria aj jeden aj druhý jazyk. S toho vyplýva že z celkoveho poctu odrataš 22 lebo tí štyria su už zahrnutí v počte (28-22) a vide ti pocet ľudi ktorí sa učia len činsky
Nie, Ondrej, tvoja uvaha nie je spravna. Ked 22 ziakov ma cestinu, tak 28-22 cestinu nema. A to su ti, ktori maju iba cinstinu. Skuska spravnosti: 18 hovori iba cesky, 4 hovoria aj aj a 6 iba cinsky. Spolu 28, cestinu ma 22 a cinstinu 10. Prienik su 4 ziaci, ale to je nam jedno.
Nie, není tam to jedno, pekne primitívna úloha ktorá nedáva žiadny zmysel, otázka sa jasne pýta ktorý žiaci MAJÚ IBA ČÍNŠTINU, TO ZNAMENÁ ŽE TAM TÍ tvoji ktorý sú ,,obyčajný prienik“ do toho jednoducho pripočítaný nemôžu byť pretože majú aj ČEŠTINU, v úlohe nikde není uvedená nejaká výnimka, tak nechápem či si toto máme vycucať z prstu alebo odkiaľ.
Na výpočet povrchu rovnostranného valca, keď je daný objem V = 216 cm³, musíme najskôr pochopiť, čo znamená rovnostranný valec – ide o valec, ktorého výška v je rovnaká ako priemer podstavy d, teda v = 2r, kde r je polomer podstavy.
Pobavil som sa hned pekne po ranu!
ako sa vypočíta tá 9tka?
Útvar na obrázku je zložený zo štvorcov a má obsah 45cm2. Koľko cm meria jeho obvod?
Odpoveď: Keďže štvorcov je 5 a obsah je 45 cm2, tak každý štvorec má 45 / 5 = 9 cm2. Keďže obsah štvorca je 9 cm2, tak podľa vzorca S = a.a je jedna strana štvorca druhá odmocnina z 9 cm2 t.j. 3 cm. Následne stačí spočítať počet strán, ktoré tvoria obvod a vynásobiť to tromi, v našom prípade 3 x 12 = 36 cm. Obvod je teda 36 cm.
Neviem prečo ale tá rovnica mi nevychádza 🙁 poradíte niekto ?
bacik
Ktora rovnica? Napis cislo ulohy a co ti vyslo? A postup.
Je to skutocne test ktory bude na prijimackach?
otazka cislo 7 je zle lebo otazka je ktory ziaci sa ucia IBA cinsky!! cize z toho vypliva ze maju len jeden jazyk takze ti co maju aj cestinu aj cinstinu tam nemozu byt pocitany, z toho vypliva ze 22 ziakov co mali cestinu plus 4 co mali aj cestinu aj cinstinu je 26 ziakov minus 28 vsetkych je 2 ktori mali IBA cinstinu… bud to je chyba v odpovedovom harku alebo zle sofrmulovana otazka
Asi si to zle pochopil Ondrej pretože 22 sa uči česky a s tých 22 sa učia štyria aj jeden aj druhý jazyk. S toho vyplýva že z celkoveho poctu odrataš 22 lebo tí štyria su už zahrnutí v počte (28-22) a vide ti pocet ľudi ktorí sa učia len činsky
Nie pretoze ti 4 co mali aj cestinu aj cinstinu sa uz rataju do tych 22 ziakov
medzi tými 22 dvomi boli ti styria…naučte sa citat
Nie, Ondrej, tvoja uvaha nie je spravna. Ked 22 ziakov ma cestinu, tak 28-22 cestinu nema. A to su ti, ktori maju iba cinstinu. Skuska spravnosti: 18 hovori iba cesky, 4 hovoria aj aj a 6 iba cinsky. Spolu 28, cestinu ma 22 a cinstinu 10. Prienik su 4 ziaci, ale to je nam jedno.
„Prijmackovy test z matematiky 2016/2017 pre gymnázia“
Nerobí si každá škola,svoje prijmačky?
Nie, není tam to jedno, pekne primitívna úloha ktorá nedáva žiadny zmysel, otázka sa jasne pýta ktorý žiaci MAJÚ IBA ČÍNŠTINU, TO ZNAMENÁ ŽE TAM TÍ tvoji ktorý sú ,,obyčajný prienik“ do toho jednoducho pripočítaný nemôžu byť pretože majú aj ČEŠTINU, v úlohe nikde není uvedená nejaká výnimka, tak nechápem či si toto máme vycucať z prstu alebo odkiaľ.
Prijímačkový test z matematiky pre gymnáziá, je oveľa ľahší ako test pre SOU. Nestala sa niekde chyba ?
ja som to typoval
ako inak
som skončil. kašlem nato idem do šace
Srandy kopec :^) ňi boa
Ako sa ráta 1tka
aha ahojte ludia majte dobry den
ak ma gympel taketo prijmacky tak je z vysneho horneho je strasne lahky
fr
Ako mam vypočítať tú 8?
zdravim neviete ako vypocitam tu 8ku? ako mam zistit vysku alebo polomer ked poznam len objem a TT?
Ako mám vypočítať 8 úlohu?
Na výpočet povrchu rovnostranného valca, keď je daný objem V = 216 cm³, musíme najskôr pochopiť, čo znamená rovnostranný valec – ide o valec, ktorého výška v je rovnaká ako priemer podstavy d, teda v = 2r, kde r je polomer podstavy.
Krok 1: Vyjadrenie objemu valca
Objem valca je daný vzorcom:
V = πr²v
Keďže v = 2r, dosadíme:
V = πr² · 2r = 2πr³
Krok 2: Dosadenie a výpočet polomeru
Dosadíme daný objem:
216 = 2πr³
Z toho vyplýva:
r³ = 216 / (2π) = 108 / π
Spočítame hodnotu r:
r ≈ 3,25 cm
Krok 3: Výpočet výšky valca
Pre rovnostranný valec platí:
v = 2r ≈ 2 · 3,25 = 6,50 cm
Krok 4: Výpočet povrchu valca
Povrch valca S je daný vzorcom:
S = 2πr² + 2πrv
Dosadíme vypočítané hodnoty:
S ≈ 199,29 cm²
Takže riešenie je za C: 1,99 dm2